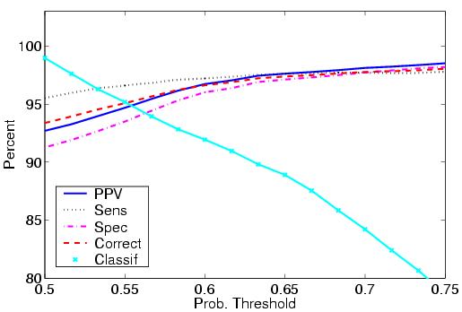
Classification Results. The probability classification threshold vs. percent-classified (Classif),
percent-correctly classified
(Correct), positive predictive value (PPV), sensitivity (Sens), and specificity (Spec) for three D-runs of Q5
on the ovarian cancer datasets. (A) OC-H4, 95% of samples
used in training. (B) OC-WCX2a, 95% of samples used
in training. (C) OC-WCX2b, 95% of samples used in
training. Increased probability classification thresholds increase Q5’s percent-correctly classified, positive
predictive value, sensitivity, and specificity while decreasing the percent-classified.
A

B

C
